Lösung:


1.3

-

-
=>   kann nicht durch Koordinatenursprung verlaufen
=>   Setzen wir gleich f (x) auf Null und lösen nach x auf: 1/(x - 4)^2       =>   keine Lösung
=>   besitzt Asymptote
=>   Die Funktion hat eine Polstelle bei x = 4, da der Nenner (x - 4)^2 gleich Null wird.
=>   Besitzt eine Waagerechte bei y = 0 und eine senkrechte Asymptote bei x = 4.
-
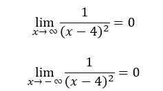
Waagerechte Aymptote:
-

-
Da beide Grenzwerte gegen 0 gehen, hat die Funktion eine waagerechte Aymptote bei y = 0.
-
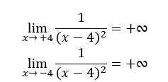
Senkrechte Aymptote:
-

-
Da beide Grenzwerte gegen + unendlich gehen, hat die Funktion eine senkrechte Aymptote bei x = 4x = 4.